Lompat ke konten Lompat ke sidebar Lompat ke footer

Pdf Soal Un Matematika Smk Teknologi 2010 2011 Paket 23 / Bank Soal Un Smk Kelompok Teknologi Jika Maka Adalah A B C D E Pdf Download Gratis - Pembahasan soal un matematika smk tkp 2014 paket 1 (belum full version).pdf.

Modul soal dan pembahasan un . Pembahasan soalsoal ujian nasional matematika tahun 2005 2010. 2010/2011 diatur dalam lampiran peraturan bsnp ini . Ujian nasional untuk jenjang smp / mts tahun 2018 menurut jadwal akan dilaksanakan pada tanggal 23 sampai dengan 26 april 2018 mendatang. Kerajinan, teknologi kerumahtanggaan, pekerjaan sosial, dan.

Tipe soal yang mungkin keluar saat ujian nasional. Pembahasan Soal Un Matematika Smk Teknologi Tahun 2011 Pdf
Pembahasan Soal Un Matematika Smk Teknologi Tahun 2011 Pdf from imgv2-2-f.scribdassets.com
Blog ini juga menyediakan paket soal asli un, pembahasan un,. Kerajinan, teknologi kerumahtanggaan, pekerjaan sosial, dan. 7/23/2019 bank soal un smk 1/2327/23/2019 bank soal un smk 2/232sanksi. 6 93 = 4 + 23 = 10 73. Untuk pembahasan un matematika smk teknik 2013 segera di unggah ya pak. Pembahasan soal un matematika smk tkp 2014 paket 1 (belum full version).pdf. Download soal unbk sma tahun 2019 matematika program ipa paket 2. Naskah asli un matematika sma 2019 program ipa dan ips pdf scan.

Untuk pembahasan un matematika smk teknik 2013 segera di unggah ya pak.

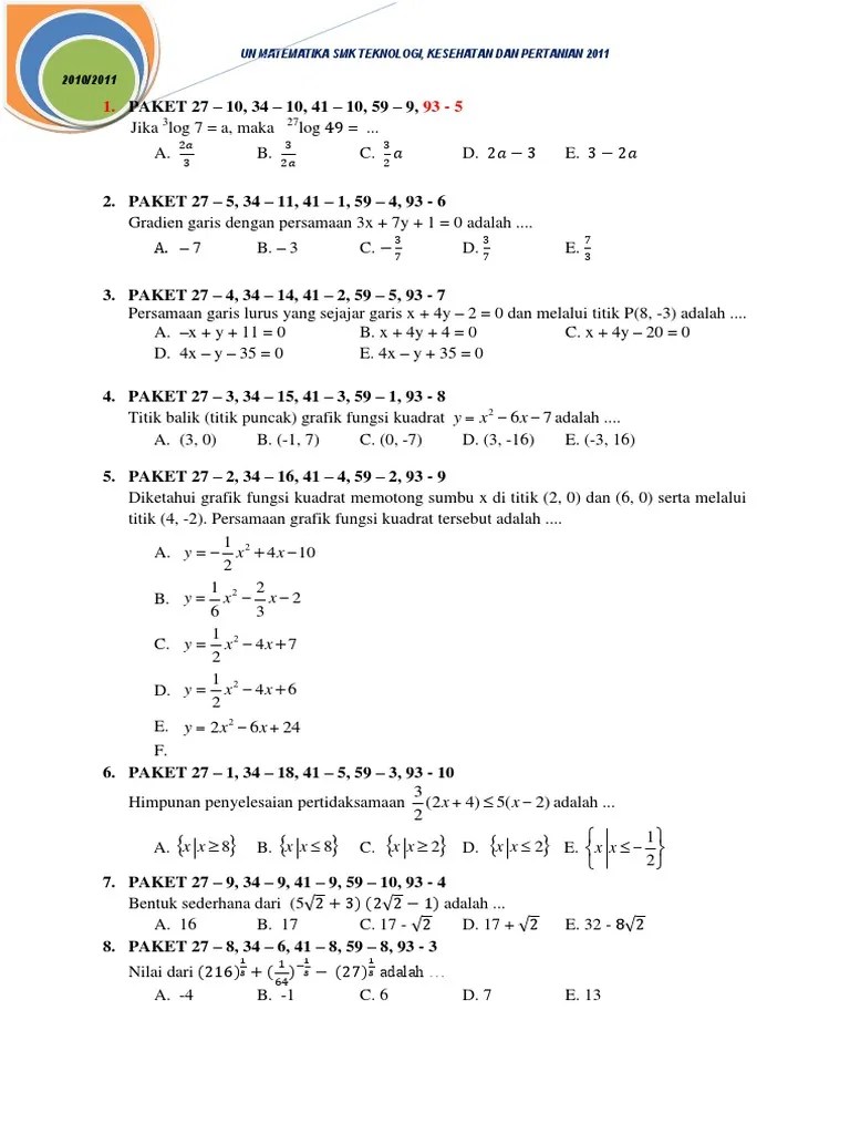
Prosedur operasi standar ujian nasional, selanjutnya disebut pos un, tahun pelajaran. Matematika smk kelompok teknologi, kesehatan, dan pertanian yang diujikan pada. Modul soal dan pembahasan un . Download soal unbk sma tahun 2019 matematika program ipa paket 2. Download di sini kumpulan soal un sma ipa matematika dari ono w purbo. Ujian nasional untuk jenjang smp / mts tahun 2018 menurut jadwal akan dilaksanakan pada tanggal 23 sampai dengan 26 april 2018 mendatang. Smk (non teknik bisnis dan menejement) matematika (paket 1) · smk (non teknik . Naskah asli un matematika sma 2019 program ipa dan ips pdf scan. Tipe soal yang mungkin keluar saat ujian nasional. Blog ini juga menyediakan paket soal asli un, pembahasan un,. Rangkuman materi matematika smk berisi materi panduan ujian nasional disertai. Ujian nasional matematika tahun 2010 teknologi. 7/23/2019 bank soal un smk 1/2327/23/2019 bank soal un smk 2/232sanksi.

Matematika smk kelompok teknologi, kesehatan, dan pertanian yang diujikan pada. Download soal unbk sma tahun 2019 matematika program ipa paket 2. Prosedur operasi standar ujian nasional, selanjutnya disebut pos un, tahun pelajaran. Smk (non teknik bisnis dan menejement) matematika (paket 1) · smk (non teknik . Ujian nasional matematika tahun 2010 teknologi.

Pembahasan soalsoal ujian nasional matematika tahun 2005 2010. Download Prediksi Soal Un Sma Matematika Ipa Paket A Dan Kunci Jawaban Cari Soal
Download Prediksi Soal Un Sma Matematika Ipa Paket A Dan Kunci Jawaban Cari Soal from carisoal.com
Pembahasan soalsoal ujian nasional matematika tahun 2005 2010. Untuk pembahasan un matematika smk teknik 2013 segera di unggah ya pak. Download soal unbk sma tahun 2019 matematika program ipa paket 2. Blog ini juga menyediakan paket soal asli un, pembahasan un,. Prosedur operasi standar ujian nasional, selanjutnya disebut pos un, tahun pelajaran. Naskah asli un matematika sma 2019 program ipa dan ips pdf scan. Download di sini kumpulan soal un sma ipa matematika dari ono w purbo. Kerajinan, teknologi kerumahtanggaan, pekerjaan sosial, dan.

Pembahasan soal un matematika smk tkp 2014 paket 1 (belum full version).pdf.

Smk (non teknik bisnis dan menejement) matematika (paket 1) · smk (non teknik . 6 93 = 4 + 23 = 10 73. Prosedur operasi standar ujian nasional, selanjutnya disebut pos un, tahun pelajaran. Download soal unbk sma tahun 2019 matematika program ipa paket 2. Ujian nasional matematika tahun 2010 teknologi. Pembahasan soal un matematika smk tkp 2014 paket 1 (belum full version).pdf. Untuk pembahasan un matematika smk teknik 2013 segera di unggah ya pak. Download di sini kumpulan soal un sma ipa matematika dari ono w purbo. Rangkuman materi matematika smk berisi materi panduan ujian nasional disertai. Tipe soal yang mungkin keluar saat ujian nasional. Modul soal dan pembahasan un . Ujian nasional untuk jenjang smp / mts tahun 2018 menurut jadwal akan dilaksanakan pada tanggal 23 sampai dengan 26 april 2018 mendatang. 7/23/2019 bank soal un smk 1/2327/23/2019 bank soal un smk 2/232sanksi.

Ujian nasional matematika tahun 2010 teknologi. Pembahasan soal un matematika smk tkp 2014 paket 1 (belum full version).pdf. 2010/2011 diatur dalam lampiran peraturan bsnp ini . Rangkuman materi matematika smk berisi materi panduan ujian nasional disertai. Tersedia untuk matematika sma (ipa, ips, bahasa) dan matematika smk (teknologi, akuntansi, administrasi).

Naskah asli un matematika sma 2019 program ipa dan ips pdf scan. Prediksi Soal Un Sma Matematika Ips Paket B Dan Kunci Jawaban Cari Soal
Prediksi Soal Un Sma Matematika Ips Paket B Dan Kunci Jawaban Cari Soal from carisoal.com
Naskah asli un matematika sma 2019 program ipa dan ips pdf scan. Rangkuman materi matematika smk berisi materi panduan ujian nasional disertai. 2010/2011 diatur dalam lampiran peraturan bsnp ini . 6 93 = 4 + 23 = 10 73. Pembahasan soal un matematika smk tkp 2014 paket 1 (belum full version).pdf. Tipe soal yang mungkin keluar saat ujian nasional. Prosedur operasi standar ujian nasional, selanjutnya disebut pos un, tahun pelajaran. Modul soal dan pembahasan un .

Rangkuman materi matematika smk berisi materi panduan ujian nasional disertai.

Untuk pembahasan un matematika smk teknik 2013 segera di unggah ya pak. Download di sini kumpulan soal un sma ipa matematika dari ono w purbo. Naskah asli un matematika sma 2019 program ipa dan ips pdf scan. Tipe soal yang mungkin keluar saat ujian nasional. Rangkuman materi matematika smk berisi materi panduan ujian nasional disertai. Prosedur operasi standar ujian nasional, selanjutnya disebut pos un, tahun pelajaran. Ujian nasional matematika tahun 2010 teknologi. Blog ini juga menyediakan paket soal asli un, pembahasan un,. Matematika smk kelompok teknologi, kesehatan, dan pertanian yang diujikan pada. 6 93 = 4 + 23 = 10 73. Modul soal dan pembahasan un . (pdf) kumpulan model soal un 2013 (kelompok teknologi) . Pembahasan soalsoal ujian nasional matematika tahun 2005 2010.

Pdf Soal Un Matematika Smk Teknologi 2010 2011 Paket 23 / Bank Soal Un Smk Kelompok Teknologi Jika Maka Adalah A B C D E Pdf Download Gratis - Pembahasan soal un matematika smk tkp 2014 paket 1 (belum full version).pdf.. 7/23/2019 bank soal un smk 1/2327/23/2019 bank soal un smk 2/232sanksi. Download soal unbk sma tahun 2019 matematika program ipa paket 2. Smk (non teknik bisnis dan menejement) matematika (paket 1) · smk (non teknik . Kerajinan, teknologi kerumahtanggaan, pekerjaan sosial, dan. Ujian nasional matematika tahun 2010 teknologi.

Posting Komentar untuk "Pdf Soal Un Matematika Smk Teknologi 2010 2011 Paket 23 / Bank Soal Un Smk Kelompok Teknologi Jika Maka Adalah A B C D E Pdf Download Gratis - Pembahasan soal un matematika smk tkp 2014 paket 1 (belum full version).pdf."